一些叶片的前缘、后缘或两端可以是方形的。
PC-DMIS Blade软件需要确保,由于叶片的后缘或前缘呈方形,样条不适合不连续性。如果叶片的端部是方形的,则必须在标称文件中指定。
方形边缘叶片示例

方形边缘叶片示例
PC-DMIS中的“叶片标称编辑器”具有一个选项,可以定义具有方形末端的叶片。有关详细过程,请参阅PC-DMIS中的文档。
PC-DMIS Blade还能够定义叶片的方形末端。
要将叶片末端定义为方形,请执行以下步骤:
编辑标称文件。如需帮助,请参阅“编辑标称文件”。
选择两个定义方形末端角的点(点号38和39),并将末端类型指定为方形。
如果存在锐角转角,则应选择两个角点以定义方形。如果角是圆形的,则叶片不是方形叶片。您可以使用 "NORMAL" 定义。
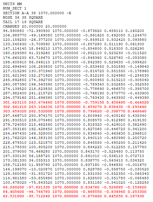
带有方形末端的叶片标称文件示例

方角标称文件示例
方形末端叶片的定义出现问题
若在编辑器中定义了前缘点和后缘点,并且生成了 MTH 文件,会发现点的样条线尚未生成所需的形状。这是因为样条线被定义为需要包含所有点的光滑曲线。在这种情况下,标称截面曲线如下所示,并非预期曲线。

初始的方形叶片截面曲线
制作方形功能
使用PC-DMIS叶片标称编辑器中的“制作方形”功能可以定义方形末端。为此,请执行以下步骤:
选择编辑 | 标称文件以打开打开对话框。选择要打开的标称值文件。
在标称文件编辑器对话框中,按下面的显示放大到前缘点区域。

方形末端叶片的标称文件编辑器对话框
确定定义叶片方形末端的三个标称点。
第一个点定义叶片CC侧的角点。
第二个点定义叶片CV侧的角点。
第三个点定义这两个点之间的中点。
CC侧角点的法线向量应与CC曲线上相邻点的法线向量匹配。
同样,CV侧角点的法线向量应与CV曲线上相邻点的法线向量匹配。
中间点的向量应为末端法线向量。
双击一个点(上例中的 17),选中后将高亮显示,随后单击选择将其定义为一个角点。
尽管没有迹象表明已选择此点,但是PC-DMIS Blade在您执行测量例程时会按照此点已被选择的情况使用它。
双击第二个角点(上例中的19),选中后高亮显示。
同样,如果此点用于定义前缘点,则可能不会改变颜色。同样,单个点必须分隔两个数。上例中,点 17 和 19 由点 18 分隔开。
在选项两个角点后,单击生成方形。如果未能正确选择角点,将出现该错误信息提示“必须选取角的两点,并由一个点分隔”。否则将显示一条提示,并询问是否适合把点生成方形。所选的点将会在提示中显示。
点击是。PC-DMIS Blade 将添加 16 个点(每个角的每边上有四个点)用以优化定义角。点分布于连接角点到其临近点的两个方向上。间距是到临近点的距离。

方角提示
新点插入截面点文本框并添加至图形显示。若叶面边缘都为方形,则重复此过程将其他边缘构成为方形。
重新定义角
在构成方形边缘后,由于此时点的索引已经发生改变,用户需要重新定义角。在此过程中使用常规的PC-DMIS Blade标称编辑器方法。每个方端的程序如下所示。
对于叶片的第一个边缘(前缘点或后缘点),在理论值字段编辑器界面的截面点图形显示窗口中,双击第一点。
按下Ctrl键,然后在标称字段编辑器屏幕的截面点图形显示窗口中双击叶片同一端(前缘或后缘)的第二个点。
若该边缘为叶片前缘点,则单击前缘点并查看对话框中的设置。
确保选中强制为前缘点/后缘点复选框。
如果叶片是直的,则需要使用force -X选项指示叶背。
确保边缘类型设置为方形边缘。
点击确认。
如果需要,请重复步骤1到6以将叶片的尾端定义为方形。
重新定义两个角后,在标称文件编辑器对话框中单击确定并生成二进制文件。优化后结果应如下显示:

方角叶片结果
更多: